Abschlussprüfung      

Abschlussprüfung 2004 - Gruppe I - A2

Nutzungshinweis
Durch Anklicken der blauen fettgedruckten Begriffe
erhältst du Lösungen bzw. Lösungshinweise.

Viel Erfolg bei der anstehenden Abschlussprüfung!

Abschlussprüfung 2004 - Mathematik I
Gruppe A Aufgabe 2

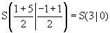
A 2.0 Die Punkte A(1|-1), Bn(3 + 4·cosφ | 1 - 3·sin2φ) mit φ ∈ [0°;123,27°] und C(5|1) sind Eckpunkte von Vierecken ABnCDn. Der Punkt S ist der Schnittpunkt der Diagonalen der Vierecke ABnCDn und zugleich der Mittelpunkt der Diagonale [AC]. Gleichzeitig teilt der Punkt S die Diagonale [BnDn] im Verhältnis
BnS
 : 
SDn
 = 1 : 3.
 
A 2.1 Zeichnen Sie die Vierecke AB1CD1 für φ = 90° und AB2CD2 für φ = 60° in ein Koordinatensystem.
Für die Zeichnung: Längeneinheit 1 cm;     -4 ≤ x ≤ 7;     -3 ≤ y ≤ 7
2 P
A 2.2 Die Punkte Bn können auf die Punkte Dn abgebildet werden.
Berechnen Sie die Koordinaten der Punkte Dn in Abhängigkeit von φ. Zeigen Sie sodann rechnerisch, dass sich die Gleichung des Trägergraphen p der Punkte Dn in der Form y = -
1/16
 · (x - 3)2 + 6 darstellen lässt.
[Teilergebnis: Dn(3 - 12cosφ|-3 + 9 sin2φ)]
Zeichnen Sie sodann den Trägergraphen p in das Koordinatensystem zu 2.1 ein.
5 P
A 2.3 Unter den Vierecken ABnCDn gibt es ein Drachenviereck AB3CD3.
Zeichnen Sie dieses Drachenviereck in das Koordinatensystem zu 2.1 ein.
Bestimmen Sie rechnerisch den zugehörigen Wert für φ sowie die Koordinaten des Punktes B3. (Auf zwei Stellen nach dem Komma runden.).
4 P
A 2.4 Zeigen Sie, dass sich der Flächeninhalt A(φ) der Vierecke ABnCDn in Abhängigkeit von φ wie folgt darstellen lässt:
A(φ) = (-24cos2φ + 16cosφ + 16) FE
4 P
A 2.5 Unter den Vierecken ABnCDn besitzt das Viereck AB0CD0 den größten Flächeninhalt Amax. Berechnen Sie diesen Flächeninhalt und den zugehörigen Wert von φ. (Auf zwei Stellen nach dem Komma runden.) 2 P
für den Erhalt
der Webseite.