|
Nutzungshinweis |
Durch Anklicken der fettgedruckten Begriffe
erhältst Du Lösungen bzw. Lösungshinweise.
Viel Erfolg bei der anstehenden
Abschlussprüfung!
|

|
|
Abschlussprüfung 2004 Mathematik I Gruppe B Aufgabe 1
|
|
|
|
|
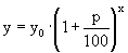
B 1.0 |
Das Bruttoinlandsprodukt gibt den
Wert der wirtschaftlichen Leistung eines Staates
für ein Jahr an. Beträgt das Bruttoinlandsprodukt eines
Staates am Ende eines Jahres y Billionen €, so lässt sich bei
einer jährlichen Wachstumsrate von p% das Bruttoinlandsprodukt
nach x Jahren in y Billionen € mit einer Gleichung der Form
berechnen.
|
|
|
|
B 1.1
|
Am Ende des Jahres 1999 betrug das Bruttoinlandsprodukt der
Bundesrepublik Deutschland 1,92 Billionen €. Bei einer
jährlichen Wachstumsrate von 2,5% kann das
Bruttoinlandsprodukt der folgenden Jahre in Billionen €
mit der Gleichung y = 1,92·1,025x
berechnet werden.
Diese Gleichung legt die Funktion f1 fest.
Tabellarisieren Sie Sie die Funktion f1 für
x Î [0; 10] in Schritten
von Dx = 1
auf zwei Stellen nach dem Komma gerundet u
nd zeichnen Sie den Graphen zu f1 in ein Diagramm.
|
Für die Zeichnung:
|
Auf der x-Achse:
|
1 cm für 1 Jahr;
|
0 x 11
|
|
|
Auf der y-Achse:
|
1 cm für 0,2 Billionen €;
|
0 y 2,60
|
|
2 P |
|
|
|
B 1.2 |
Berechnen Sie, in welchem Kalenderjahr das
Bruttoinlandsprodukt der Bundesrepublik Deutschland
bei einer jährlichen Wachstumsrate von 2,5% den
Wert von 3 Billionen € übersteigen würde.
|
3 P |
|
|
|
B 1.3 |
Am Ende des Jahres 1998 hatte Österreich ein
Bruttoinlandsprodukt von 0,19 Billionen € bei einer
jährlichen Wachstumsrate von 1,5%. Gleichzeitig
hatte die Schweiz ein Bruttoinlandsprodukt
von 0,25 Billionen € bei einer jährlichen
Wachstumsrate von -0,2%.
Im wievielten Jahr
haben beide Länder das gleiche
Bruttoinlandsprodukt, wenn sich die jährlichen
Wachstumsraten nicht ändern?
|
4 P |
|
|
|
B 1.4 |
In Wirklichkeit ist in den drei Jahren nach
1999 das Bruttoinlandsprodukt der Bundesrepublik
Deutschland von 1,92 Billionen € auf 2,10
Billionen € gestiegen.
Berechnen Sie auf eine Stelle
nach dem Komma gerundet mit Hilfe der
Gleichung aus 1.0 die jährliche Wachstumsrate p%.
|
3 P |
|
|
|
B 1.5 |
Im wievielten Jahr ist das Bruttoinlandsprodukt
eines Staates um 10% gestiegen, wenn
die Wachstumsrate 1,8% beträgt?
|
3 P |
|
|
|
|
|
|
 |
(c) A. Meier, 2004 |
 |
|
|